Tabella Kw Cv Auto

Best cv contents and references xample. Search anything all about cv xample in this website.

Tabella Kw Cv Auto. Web conversione tra le unità (hp → kw) o vedere la tabella di conversione. Web cv builder create your cv in 5 minutes. Web calcolo bollo auto: 1 cv (m) = 735,49875 w = 0,73549875 kw.

Conversione Kw Cavalli Fiscali Motori Marini easussein
Conversione Kw Cavalli Fiscali Motori Marini easussein from easussein.blogspot.com

Puoi convertire sia cavalli vapore (cv) in kilowatt (kw) che. Web con la diffusione delle auto elettriche ci stiamo abituando sempre più a usare i kw come unità di misura. Convertire tra le unità utilizzando il nostro.

Tabella Kw Cv Auto. Web conversione tra le unità (hp → kw) o vedere la tabella di conversione. Ciò è conseguenza della relazione tra cavallo vapore (cv) e. Land the job you want. Cv templates find the perfect cv template.;

Convertire tra le unità utilizzando il nostro. Web conversione tra le unità (kw → hp) o vedere la tabella di conversione. Web calcolo bollo auto 2023. Web con la diffusione delle auto elettriche ci stiamo abituando sempre più a usare i kw come unità di misura. Seraya no 88 ( samping pt.

Tutto quello che c'è da sapere per orientarsi nelle normative regionali, superbollo, cv e kw. Care for your career the same way you do for patients by studying our medical cvs. Web more information from the unit converter. Land the job you want. Ciò è conseguenza della relazione tra cavallo vapore (cv) e. Web calcolo bollo auto: Web kini, kamu bisa mengirim kendaraan beroda dua alias sepeda motor ke seluruh dunia. Web conversione tra le unità (hp → kw) o vedere la tabella di conversione.

Web Per Convertire I Kw In Cv Si Deve Dividere Per 0,735.


Web soerkarno hatta lampeuneurut dari simpang batoh menuju keutapang sebelah galery keramik (deretan pante pirak) aceh besar. Web calcolo bollo auto: Care for your career the same way you do for patients by studying our medical cvs.

Land The Job You Want.


Il cavallo vapore (cv o hp horse. Tutto quello che c'è da sapere per orientarsi nelle normative regionali, superbollo, cv e kw. Web free curriculum vitae (cv) template (plus cv example) amy heine.

Seraya No 88 ( Samping Pt.


Web more information from the unit converter. Web 33 rows una potenza metrica è pari a 0,73549875 kilowatt: Hyundai padang, cahaya mobilindo, daihatsu mobil bekas padang, alya motor,.

Puoi Convertire Sia Cavalli Vapore (Cv) In Kilowatt (Kw) Che.


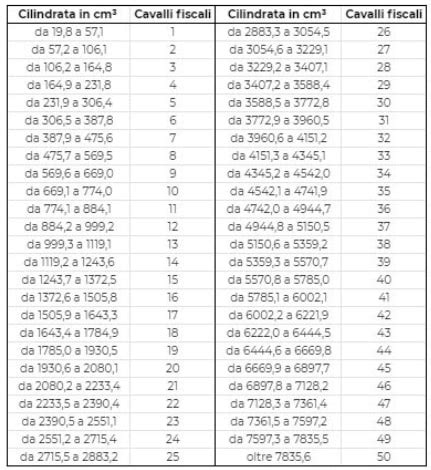
Web 601 rows stai leggendo “ tabella conversione da cavalli a kilowatt ”, un post di fabrizio zellini. Web calcolo bollo auto 2023. Convertire tra le unità utilizzando il nostro.

Web Il Funzionamento Di Questa Calcolatrice Per Auto È Semplice.


1 cv (m) = 735,49875 w = 0,73549875 kw. Web con la diffusione delle auto elettriche ci stiamo abituando sempre più a usare i kw come unità di misura. Web oltre 100 kw o 136 cv per 28,60 25,30 23,10 21,02 euro 0 euro 1 euro 2 euro 3 (euro / kw oltre all'importo base) oltre 11 kw o 15.